scanpy.pl.violin

Contents

scanpy.pl.violin#

scanpy.pl.violin(adata, keys, groupby=None, *, log=False, use_raw=None, stripplot=True, jitter=True, size=1, layer=None, density_norm='width', order=None, multi_panel=False, xlabel='', ylabel=None, rotation=None, show=None, ax=None, save=None, scale=_empty, **kwds)[source]#

Violin plot.

Wraps seaborn.violinplot() for AnnData.

Parameters:
adata AnnData

Annotated data matrix.

keys str | Sequence[str]

Keys for accessing variables of .var_names or fields of .obs.

groupby str | None (default: None)

The key of the observation grouping to consider.

log bool (default: False)

Plot on logarithmic axis.

use_raw bool | None (default: None)

Whether to use raw attribute of adata. Defaults to True if .raw is present.

stripplot bool (default: True)

Add a stripplot on top of the violin plot. See stripplot().

jitter float | bool (default: True)

Add jitter to the stripplot (only when stripplot is True) See stripplot().

size int (default: 1)

Size of the jitter points.

layer str | None (default: None)

Name of the AnnData object layer that wants to be plotted. By default adata.raw.X is plotted. If use_raw=False is set, then adata.X is plotted. If layer is set to a valid layer name, then the layer is plotted. layer takes precedence over use_raw.

density_norm Literal['area', 'count', 'width'] (default: 'width')

The method used to scale the width of each violin. If ‘width’ (the default), each violin will have the same width. If ‘area’, each violin will have the same area. If ‘count’, a violin’s width corresponds to the number of observations.

order Sequence[str] | None (default: None)

Order in which to show the categories.

multi_panel bool (default: False)

Display keys in multiple panels also when groupby is not None.

xlabel str (default: '')

Label of the x axis. Defaults to groupby if rotation is None, otherwise, no label is shown.

ylabel str | Sequence[str] | None (default: None)

Label of the y axis. If None and groupby is None, defaults to 'value'. If None and groubpy is not None, defaults to keys.

rotation float | None (default: None)

Rotation of xtick labels.

show bool | None (default: None)

Show the plot, do not return axis.

save bool | str | None (default: None)

If True or a str, save the figure. A string is appended to the default filename. Infer the filetype if ending on {'.pdf', '.png', '.svg'}. (deprecated in favour of sc.pl.plot(show=False).figure.savefig()).

ax Axes | None (default: None)

A matplotlib axes object. Only works if plotting a single component.

**kwds

Are passed to violinplot().

Return type:

Axes | FacetGrid | None

Returns:

A Axes object if ax is None else None.

Examples

import scanpy as sc
adata = sc.datasets.pbmc68k_reduced()
sc.pl.violin(adata, keys='S_score')
../_images/scanpy-pl-violin-1.png

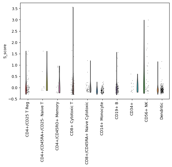
Plot by category. Rotate x-axis labels so that they do not overlap.

sc.pl.violin(adata, keys='S_score', groupby='bulk_labels', rotation=90)
../_images/scanpy-pl-violin-2.png

Set order of categories to be plotted or select specific categories to be plotted.

groupby_order = ['CD34+', 'CD19+ B']
sc.pl.violin(adata, keys='S_score', groupby='bulk_labels', rotation=90,
    order=groupby_order)
../_images/scanpy-pl-violin-3.png

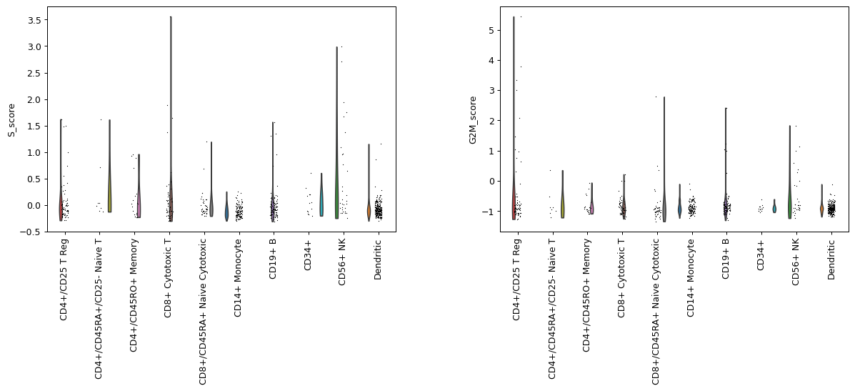
Plot multiple keys.

sc.pl.violin(adata, keys=['S_score', 'G2M_score'], groupby='bulk_labels',
    rotation=90)
../_images/scanpy-pl-violin-4.png

For large datasets consider omitting the overlaid scatter plot.

sc.pl.violin(adata, keys='S_score', stripplot=False)
../_images/scanpy-pl-violin-5.png